The 5 best road trip songs and their route planning simulations
Who doesn’t enjoy the feeling of ultimate freedom, unlimited time and the beautiful scenery passing by during a road trip as seen in the movies? And what better way to accompany our journeys than with the perfect soundtrack? In this blog, we delve into fuel-powered melodies that have become synonymous with the road-tripping experience. But beyond their catchy tunes and sing-along choruses, there lies an intriguing connection to fuel consumption – a factor often overlooked when we set out on our road trips.
Simcenter Amesim release 2304 now includes the Route planning tool to assess vehicle performances not only on certification driving cycles, but also on real routes and traffic conditions. This (free) tool is part of the Driving Cycle Manager App and can account for either trucks or cars route profiles, for traffic conditions, road signs, tolls, slope and tunnels making the route generation relatively accurate.
We’ve selected 5 of the best road-trip songs, planned the belonging route, and used an iconic Ford Mustang 1968 model for the trip to predict the fuel consumption of these songs. So, fasten your seatbelts, adjust the rearview mirror, and let’s embark on a melodic journey through the highways and byways and their unexpected connection to the fuel that propels our adventures forward.
1. Steppenwolf: ‘Born to be Wild’ (1968)
“Born to be Wild” is a classic rock song by Steppenwolf that celebrates the freedom and excitement of the open road and the rebellious spirit of youth. The lyrics are often associated with motorcycle culture, but they can also be applied to driving a car like the Ford Mustang 1968.
On the other hand, California has long been associated with car culture, and the state’s scenic highways and winding roads provide the perfect backdrop for a Mustang road trip. Driving a Mustang in California can be seen as a way to express one’s independence and love of adventure, just as the song’s lyrics encourage listeners to “get their motor running” and “head out on the highway.”
Hence, we used the Route planning tool to create a trip going from Los Angeles to San Francisco, avoiding tolls.

We applied this route to our Ford Mustang 68 Simcenter Amesim model and the main performances such as fuel consumption, CO2 emissions and driving range were estimated.

2. Bruce Springsteen: ‘Born to Run’ (1975)
Bruce Springsteen’s “Born to Run” evoke a sense of escape, adventure, and the thrill of the open road, making it a popular anthem for driving enthusiasts.
Driving our Ford Mustang on US-9, a historic highway that runs along the eastern coast of the United States, can be a fitting expression of the song’s themes. The Mustang, with its iconic design and powerful engine, embodies the idea of freedom and adventure that Springsteen sings about in “Born to Run.” The winding roads of US-9, especially in the New Jersey, offer a perfect backdrop for a Mustang road trip.
So, we built a trip from Cape May to New York City following the US-9 highway and had a look at the performances of our Mustang on this trip.


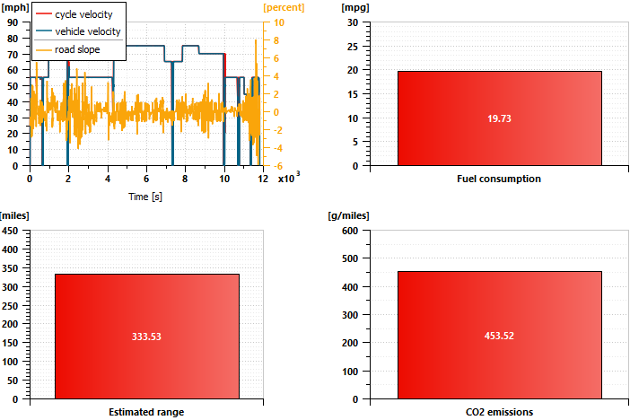
3. AC/DC: ‘Highway to Hell’ (1979)
The lyrics of “Highway to Hell” describe the life of a rock and roll band on tour, traveling on the road from town to town, playing shows and living the wild and crazy lifestyle of rock stars. The “highway to hell” is a metaphor for this lifestyle, which is both exciting and dangerous. However, we didn’t follow the metaphor and literally took the highway to Hell, Michigan, starting from Paradise (Incidentally in Michigan too!). Here are the simulation results.


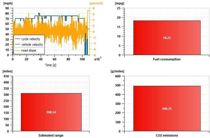
4. Chuck Berry: ‘Route 66’ (1961)
“Route 66” is a classic song that celebrates the famous American highway of the same name. The song was first recorded by Nat King Cole and has since been covered by Chuck Berry among other artists. It has become an anthem for road trips and the quintessential American adventure.
The song’s lyrics speak to the allure of the open road and the excitement of discovering new places and experiences. It’s a perfect match for driving a Mustang on Route 66, which offers a unique perspective on America’s vast landscapes, cities, and small towns.
Here we go again within Simcenter Amesim:


5. John Denver: ‘Take Me Home, Country Roads’ (1971)
“Take Me Home, Country Roads” describes a longing to return to the natural beauty and simplicity of the countryside, specifically the Appalachian Mountains of West Virginia. The opening lines of the song, “Almost heaven, West Virginia / Blue Ridge Mountains, Shenandoah River,” evoke a sense of peace and tranquility, and the chorus “Take me home, country roads,” expresses a desire to return to a place where life is slower and more peaceful. So we took our Ford Mustang through the country roads of West Virginia, from Shenandoah, Virginia to Charleston, West Virginia. We can see that the speed profile is much noisier so as the slope.


Workflow and validation of the Route planning tool
Even though road songs are a nice way of describing the Route planning tool, it doesn’t expose the workflow and how simple it is to generate a route. So here is the short video describing the entire workflow from launching the tool, to analyzing the simulation results, in just few clicks and seconds.
In addition, to demonstrate the accuracy of the Route planning, we made a comparison between a recorded GPS route and the same route generated with from the tool. In 2021, we did a GPS recording with my car to test the GPX import App and we went to Mont Ventoux, from Lyon in France. So we reused the GPX file and compared it with the same route generated with the Route planning. Both driving cycles are in accordance and we observe a total distance error of 2 km for a route of 240 km.

To conclude, using the Route planning tool offers the possibility to generate a nearly infinite number of driving cycles, accounting for traffic, elevation, tolls, road signs and difference between trucks and passenger cars… And so even for the most iconic road trip songs and American car. Please download the Simcenter Amesim 2304 version on the Support center to try it out or read the Simcenter Amesim 2304 release blog to discover the many other capabilities that have been introduced by our developers.


